礦用提升機鋼絲繩換繩車同步齒輪特性分析(2)(圖文)
時間:2024-06-22 08:35:30 點擊數:
2 換繩機構馬達輸出轉矩分析
換繩機構采用雙液壓馬達驅動,以帶動同步帶輪和鏈輪轉動,進行送繩,其能量傳遞過程如圖3所示。在整個能量傳遞中,受排量、效率、液壓等因素的影響,液壓馬達輸出轉矩會產生波動。因此,需要通過公式推導得出輸出轉矩的波動函數。
圖3 送繩機構的能量傳遞過程
液壓系統在角速度 ω0 附近發生微小波動,其轉矩輸出

式中:Tm0 為輸出轉矩,N·m;Tm 為穩定輸出轉矩,N·m;Km0 為剛度系數;λ 為波動系數。

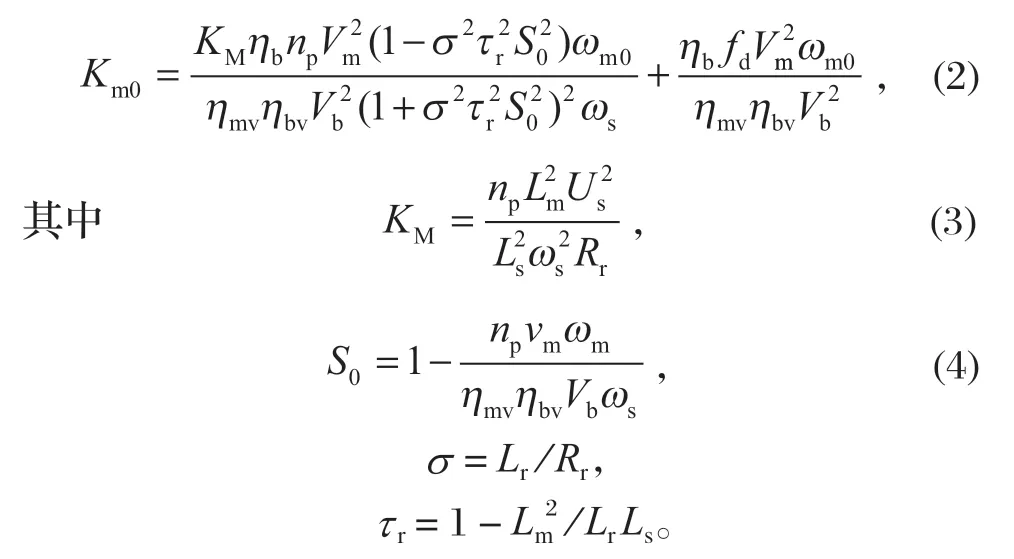
式中:np 為電動機的極對數;Vm 為液壓馬達的排量;ωs 為電網供電頻率;Ls、Lr、Lm 分別為定子電感、轉子電感以及定子與轉子之間的互感;Us 為端電壓。
初步選定系統性能參數如下:選取三相異步電動機(380 V,50 H z,4極,Δ 連接,額定功率為75kW,額定轉速為1490 r/min),定子電感 LS=0.075H,轉子電感 Lr=0.075H,互感 Lm=0.075H,電動機轉軸的阻尼系數 fd=0.01,轉子電阻 Rr=0.0779Ω;選取型號相同的液壓泵(排量 Vb=2034mL/r,容積效率 ηbv=0.95,機械效率 ηb=0.95),以及其型號相同的液壓馬達。馬達角速度 ωm0=1.26r ad/min,穩定輸出轉矩 Tm=6000 N·m,由此可得:

當波動系數 λ=1000 t 時,t 為0~0.3s,此時波動輸出轉矩

當波動系數 λ=300 sin 32t 時,此時波動輸出轉矩

當波動系數 λ=20 e10 t 時,此時波動輸出轉矩

以上3種波動函數如圖4所示。
圖4 3種波動函數